
杨伯恺(1892-1949),原名杨洵,字道融。四川省营山县骆市乡人,幼时家境贫寒,弟妹多人仅其一人求学。1919年通过吴玉章同志联系,经考试合格以勤工俭学赴法国留学。1922年加入旅欧共青团组织,1923年加入中国共产党,1944年加入中国民主同盟, 1949年11月当选民盟第一届中央常务委员。1949年12月8日深夜牺牲于成都十二桥。
1925年3月,杨伯恺毅然回国,投身革命。他积极配合吴玉章等在重庆创办中法大学,他任教务长,全面处理日常工作,讲授历史、训育等课程,并向学生传输革命思想和马列主义理论,为国家培养了一批有革命理想的青年,如陈同生、任百戈、范长江等。1926年2月,中共重庆地方执行委员会在中法大学正式成立,杨伯恺被选为教育委员会委员,分管学运工作。他回到家乡营山筹建中共县支部,创办农民夜校、组织合作社、宣传革命思想,3月,四川省第一个由共产党领导的县级农会——营山县农民协会成立,此后,乡一级的骆市乡农民协会成立。营山农民运动迅猛发展,全县成立了区农会22个、分农会64个,会员万人左右,为全省农民运动之冠。
1927年3月31日,杨伯恺参加了中共重庆地委在打枪坝召开的反帝群众大会。大会遭到驻重庆军阀血腥屠杀,打死打伤1000余人,杨伯恺头部受伤。4月,他赴汉口向中共中央汇报重庆地委遭破坏情况,并作为四川代表出席中共中央第五次全国代表大会。“七•一五”反革命政变后,杨伯恺和任白戈、沙汀到上海创办辛垦书店,翻译出版了《哲学原理》等几十部理论书籍,其中他个人用法文翻译的就有《世界经济与帝国主义》和《论帝国主义》(列宁著)等十余部。他还创办《二十世纪》杂志,并在杂志上发表宣传马克思主义的理论文章。
1937年到1938年,杨伯恺先后会见了叶剑英、林伯渠、周恩来等同志,接受了回四川在文教界和川军上层从事统战工作的任务。1940年,他开始为《华西日报》撰写社论,1942年受聘为主笔,紧密配合《新华日报》的宣传方针,为抗战民主呐喊,为国计民生直言,先后撰文数百篇。曾有朋友劝他把笔锋放柔和些,不要那么犀利,但他却回答:“文章就是我的武器,磨光了还有什么用?”1945年5月,《华西日报》被国民党当局查封。
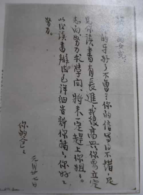
杨伯恺给女儿的手稿书信
1944年10月,杨伯恺参加中国民主同盟,1945年10月当选为民盟中央委员。他积极投入民盟各方面工作,协助张澜在成都建立民盟四川省支部,并被选为宣传部长,民盟有些重要文件或讲话, 也多由他代笔草拟。1946年5月,民盟主办,由张澜任社长的《民众时报》创刊,他任总经理兼主笔,周恩来为《民众时报》创刊号题词“民主先锋”。在杨伯恺主办下,该报积极宣传建立民主联合政府的主张,旗帜鲜明反蒋反美,出刊仅两月半即被迫停刊。他毫不气馁,又领导原编采人员办起《青年园地》和《时代文摘》,转载新华社的言论和其他报刊的进步文章,继续为人民群众提供精神食粮。为此,国民党当局视杨伯恺为眼中钉、肉中刺,意欲除之而后快。
1947年,国民党实施“六•一”大逮捕前夕,有朋友得到消息劝他离开成都,但杨伯恺认为自己身为民盟领导,在紧要关头不能离开岗位。6月2日凌晨,国民党特务查抄了杨伯恺住所,并将其囚禁在成都政治犯集中营——将军衙门监狱内。特务们轮番逼讯,迫令杨伯恺交出民盟的秘密组织,他回答的是:“民盟从来没有什么秘密组织,它是公开的、光明正大的政团,它的政策是民主和平、团结建国,这不但过去对,现在对,将来也是对的。”他还愤怒谴责这次对他本人和大批盟员的非法逮捕。当敌人企图以写悔过书作为释放条件时,杨伯恺严词拒绝:“我绝不写一个字,就是马上枪毙我也不写。死怕什么!人生自古谁无死?只是死得要有价值!”在狱中,杨伯恺虽受尽折磨,仍然始终保持着革命气节和乐观主义,他鼓励战友坚定信念,争取看守的青年宪兵,自己坚持学习,写下几万字的笔记。
1949年11月至12月,民盟一届四中全会在北京召开,还在狱中的杨伯恺被选为中央常委。12月7日深夜,民盟一届四中全会还未结束,杨伯恺与同狱的30余位革命战友,英勇就义于成都十二桥,时年55岁。